Abstract
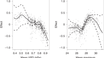
Studies have demonstrated that plant phenophases (e.g. budburst, flowering, ripening) are occurring increasingly earlier in the season across diverse ecologies globally. Despite much interest that climate change impacts have on coffee (Coffea arabica), relatively little is known about the driving factors determining its phenophases. Using high-resolution microclimatic data, this study provides initial insights on how climate change is impacting C. arabica phenophases in Tanzania. In particular, we use generalized additive models to show how warming nocturnal temperatures (Tnight), as opposed to day-time or maximum temperatures, have a superseding effect on the ripening of coffee and subsequent timing of harvest. A warm night index (WNI), generated from mean nocturnal temperature, permits accurate prediction of the start of the harvest season, which is superior to existing methods using growing degree days (GDD). The non-linear function indicates that a WNI of 15 °C is associated with the latest ripening coffee cherries (adjusted R2 = 0.95). As the WNI increases past the inflection point of ~ 16 °C, ripening occurs earlier and progresses more or less linearly at a rate of ~ 17 ± 1.95 days for every 1 °C increase in WNI. Using the WNI will thus not only allow farmers to more accurately predict their harvest start date, but also assist with identifying the most suitable adaptation strategies which may reduce harvest-related costs and buffer potential losses in quality and production.






Similar content being viewed by others
References
Adhikari R (2015) A neural network based linear ensemble framework for time series forecasting. Neurocomputing 157:231–242. https://doi.org/10.1016/j.neucom.2015.01.012
Aerts R, Geeraert L, Berecha G, Hundera K, Muys B, De Kort H, Honnay O (2017) Conserving wild Arabica coffee: emerging threats and opportunities. Agric Ecosyst Environ 237:75–79. https://doi.org/10.1016/j.agee.2016.12.023
Alègre C (1959) Climates et caféiers d’ıArabie. Agron Trop 14:23–58
Avelino J, Cristancho M, Georgiou S, Imbach P, Aguilar L, Bornemann G, Läderach P, Anzueto F, Hruska AJ, Morales C (2015) The coffee rust crises in Colombia and Central America (2008–2013): impacts, plausible causes and proposed solutions. Food Sec 7:303–321
Bapuji Rao B, Santhibhushan Chowdary P, Sandeep VM, Rao VUM, Venkateswarlu B (2014) Rising minimum temperature trends over India in recent decades: implications for agricultural production. Glob Planet Chang 117:1–8. https://doi.org/10.1016/j.gloplacha.2014.03.001
Bunn C, Läderach P, Ovalle O, Kirschke D (2014) A bitter cup: climate change profile of global production of Arabica and Robusta coffee. Clim Chang 129:89–101. https://doi.org/10.1007/s10584-014-1306-x
Bunn C, Läderach P, Pérez Jimenez JG, Montagnon C, Schilling T (2015) Multiclass classification of agro-ecological zones for Arabica coffee: an improved understanding of the impacts of climate change. PLoS One 10:1–16. https://doi.org/10.1371/journal.pone.0140490
Camargo AP, Camargo MBP (2001) Definição e esquematização das fases fenológicas do cafeeiro arábica nas condições tropicais do Brasil. Bragantia 60:65–68. https://doi.org/10.1590/S0006-87052001000100008
Chen YY, Satake A, Sun IF, Kosugi Y, Tani M, Numata S, Hubbell SP, Fletcher C, Noor Nur Supardi MD, Wright SJ (2018) Species-specific flowering cues among general flowering Shorea species at the Pasoh Research Forest, Malaysia. J Ecol 106:586–598. https://doi.org/10.1111/1365-2745.12836
Core Team R (2018) R: a language and environment for statistical computing. In: R Foundation for statistical computing. Austria, Vienna https://www.R-project.org/
Crabbe RA, Dash J, Rodriguez-Galiano VF, Janous D, Pavelka M, Marek MV (2016) Extreme warm temperatures alter forest phenology and productivity in Europe. Sci Total Environ 563-564:486–495. https://doi.org/10.1016/j.scitotenv.2016.04.124
Craparo ACW, Van Asten PJA, Läderach P, Jassogne LTP, Grab SW (2015) Coffea arabica yields decline in Tanzania due to climate change: global implications. Agric For Meteorol 207:1–10. https://doi.org/10.1016/j.agrformet.2015.03.005
Da Silva EA, Mazzafera P, Brunini O, Sakai E, Arruda FB, Mattoso LHC, Carvalho CRL, Pires RCM (2005) The influence of water management and environmental conditions on the chemical composition and beverage quality of coffee beans. Braz J Plant Physiol 17:229–238. https://doi.org/10.1590/S1677-04202005000200006
DaMatta FM, Ramalho JC (2006) Impacts of drought and temperature stress on coffee physiology and production: a review. Braz J Plant Physiol 18:55–81. https://doi.org/10.1590/S1677-04202006000100006
DaMatta FM, Ronchi CP, Maestri M, Barros RS (2008) Ecophysiology of coffee growth and production. Braz J Plant Physiol 19:485–510
DaMatta FM, Avila RT, Cardoso AA, Martins SCV, Ramalho JC (2018) Physiological and agronomic performance of the coffee crop in the context of climate change and global warming: a review. J Agr Food Chem 66(21):5264–5274. https://doi.org/10.1021/acs.jafc.7b04537
DaMatta F, Rahn E, Läderach P, Ghini R, Ramalho J (2019) Why could the coffee crop endure climate change and global warming to a greater extent than previously estimated? Clim Chang 152:167–178. https://doi.org/10.1007/s10584-018-2346-4
Davis AP, Gole TW, Baena S, Moat J (2012) The impact of climate change on indigenous arabica coffee (Coffea arabica): predicting future trends and identifying priorities. PLoS One 7:1–13. https://doi.org/10.1371/journal.pone.0047981
Davis AP, Chadburn H, Moat J, O’Sullivan R, Hargreaves S, Lughadha EN (2019) High extinction risk for wild coffee species and implications for coffee sector sustainability. Sci Adv 5:eaav3473. https://doi.org/10.1126/sciadv.aav3473
Fisher R, Wilson SK, Sin TM, Lee AC, Langlois TJ (2018) A simple function for full-subsets multiple regression in ecology with R. Ecology and Evolution. Ecol Evol 8:6104–6113. https://doi.org/10.1002/ece3.4134
Fitchett JM, Grab SW, Thompson DI, Roshan GHR (2014) Spatio-temporal variation in phenological responses of citrus to climate change in Iran: 1960-2010. Agric For Meteorol 198-199:285–293
Gay C, Estrada F, Conde C, Eakin H, Villers L (2006) Potential impacts of climate change on agriculture: a case of study of coffee production in Veracruz, Mexico. Clim Chang 79:259–288. https://doi.org/10.1007/s10584-006-9066-x
Gebrechorkos SH, Hülsmann S, Bernhofer C (2019) Regional climate projections for impact assessment studies in East Africa. Environ Res Lett 14:044031. https://doi.org/10.1088/1748-9326/ab055a
Gordo O, Sanz JJ (2010) Impact of climate change on plant phenology in Mediterranean ecosystems. Glob Chang Biol 16:1082–1106. https://doi.org/10.1111/j.1365-2486.2009.02084.x
Grab S, Craparo ACW (2011) Advance of apple and pear tree full bloom dates in response to climate change in the southwestern Cape, South Africa: 1973–2009. Agric For Meteorol 151:406–413. https://doi.org/10.1016/j.agrformet.2010.11.001
Hartmann D, Klein Tank A, Rusticucci M, Alexander L, Breonnimann S, Charabi Y et al (2013) Observations: atmosphere and surface. In: Stocker T, Qin D, Plattner GK, Tignor M, Allen S, Boschung J, Nauels A, Xia Y, Bex V, Midgley P (eds) Climate change 2013: the physical science basis. Contribution of working group I to the fifth assessment report of the intergovernmental panel on climate change. Cambridge University Press, Cambridge, pp 159–254
ICO (2015) Sustainability of the coffee sector in Africa. International Coffee Council, 115th session, Milan, Italy, ICC 114–5 Rev. 1. Accessed 20-12-2018, http://www.ico.org/documents/cy2014-15/icc-114-5-r1e-overview-coffee-sector-africa.pdf
IPCC (2007) Climate change: the physical science basis. In: Solomon S, Qin D, Manning M, Chen Z, Marquis M, Averyt KB, Tignor M, Miller HL (eds) Contribution of working group I to the fourth assessment report of the intergovernmental panel on climate change. Cambridge University Press, Cambridge
Joët T, Laffargue A, Descroix F, Doulbeau S, Bertrand B, Kochko A, Dussert S (2010) Influence of environmental factors, wet processing and their interactions on the biochemical composition of green Arabica coffee beans. Food Chem 118:693–701. https://doi.org/10.1016/j.foodchem.2009.05.048
Jones HG (2014) Plants and microclimate: a quantitative approach to environmental plant physiology, 3rd edn. Cambridge University Press, Cambridge
Jung JH, Domijan M, Klose C, Biswas S, Ezer D, Gao M, Khattak AK, Box MS, Charoensawan V, Cortijo S, Kumar M, Grant A, Locke JCW, Schäfer E, Jaeger KE, Wigge PA (2016) Phytochromes function as thermosensors in Arabidopsis. Science 354:1–8. https://doi.org/10.1126/science.aaf6005
Kath J, Byrareddy VM, Craparo A, Nguyen-Huy T, Mushtaq S, Cao L, Bossolasco L (2020, 2020) Not so robust: Robusta coffee production is highly sensitive to temperature. Glob Change Biol:1–12. https://doi.org/10.1111/gcb.15097
Läderach P, Ramirez-Villegas J, Navarro-Racines C, Zelaya C, Martinez-Valle A, Jarvis A (2016) Climate change adaptation of coffee production in space and time. Clim Chang 141:1–16. https://doi.org/10.1007/s10584-016-1788-9
Lin BB (2010) The role of agroforestry in reducing water loss through soil evaporation and crop transpiration in coffee agroecosystems. Agric For Meteorol 150:510–518. https://doi.org/10.1016/j.agrformet.2009.11.010
Lin X, Zhang D (2002) Inference in generalized additive mixed models by using smoothing splines. J. R. Statist. Soc.: Series B (Stat Methodol) 61(1999):381–400. https://doi.org/10.1111/1467-9868.00183
Luedeling E (2012) Climate change impacts on winter chill for temperate fruit and nut production: a review. Sci Hort 144:218–229. https://doi.org/10.1016/j.scienta.2012.07.011
Luedeling E, Guo L, Dai J, Leslie C, Blanke MM (2013) Differential responses of trees to temperature variation during the chilling and forcing phases. Agric For Meteorol 181:33–42. https://doi.org/10.1016/j.agrformet.2013.06.018
Martins MQ, Rodrigues WP, Fortunato AS, Leitão AE, Rodrigues AP, Pais IP, Martins LD, Silva MJ, Reboredo FH, Partelli FL, Campostrini E, Tomaz MA, Scotti-Campos P, Ribeiro-Barros AI, Lidon FJC, DaMatta FM, Ramalho JC (2016) Protective response mechanisms to heat stress in interaction with high [CO2] conditions in Coffea spp. Front Plant Sci 7:947. https://doi.org/10.3389/fpls.2016.00947
Moat J, Williams J, Baena S, Wilkinson T, Gole TW, Challa ZK, Demissew S, Davis AP (2017) Resilience potential of the Ethiopian coffee sector under climate change. Nat Plants 3:17081. https://doi.org/10.1038/nplants.2017.81
Nagarajan S, Jagadish SVK, Hari Prasad AS, Thomar AK, Anand A, Pal M, Agarwal PK (2010) Local climate affects growth, yield and grain quality of aromatic and non-aromatic rice in northwestern India. Agric Ecosyst Environ 138:274–281. https://doi.org/10.1016/j.agee.2010.05.012
Ovalle-Rivera O, Läderach P, Bunn C, Obersteiner M, Schroth G (2015) Projected shifts in Coffea arabica suitability among major global producing regions due to climate change. PLoS One 10(4):e0124155. https://doi.org/10.1371/journal.pone.0124155
Peng S, Huang J, Sheehy JE, Laza RC, Visperas RM, Zhong X, Centeno GS, Khush GS, Cassman KG (2004) Rice yields decline with higher night temperature from global warming. Proc Natl Acad Sci U S A 101:9971–9975. https://doi.org/10.1073/pnas.0403720101
Pepin NC, Duane WJ, Hardy DR (2010) The montane circulation on Kilimanjaro, Tanzania and its relevance for the summit ice fields: comparison of surface mountain climate with equivalent reanalysis parameters. Glob Planet Chang 74:61–75. https://doi.org/10.1016/j.gloplacha.2010.08.001
Peters VE, Carroll CR (2012) Temporal variation in coffee flowering may influence the effects of bee species richness and abundance on coffee production. Agrofor Syst 85:95–103. https://doi.org/10.1007/s10457-011-9476-2
Pezzopane JRM, Pedro MJ, Camargo J, Fazuoli LC (2008) Exigência térmica do café arábica cv. Mundo Novo no subperíodo florescimento-colheita. Ciênc Agrotec 32:1781–1786. https://doi.org/10.1590/S1413-70542008000600016
Pezzopane JRM, Salva T, Lima V, Fazuoli LC (2012) Agrometeorological parameters for prediction of the maturation period of Arabica coffee cultivars. Int J Biometeorol 56:843–851. https://doi.org/10.1007/s00484-011-0486-6
Rahn E, Vaast P, Läderach P, van Asten P, Jassogne L, Ghazoul J (2018a) Exploring adaptation strategies of coffee production to climate change using a process-based model. Ecol Modell 371:86–89. https://doi.org/10.1016/j.ecolmodel.2018.01.009
Rahn E, Liebig T, Ghazoul J, van Asten P, Läderach P, Vaast P, Sarmiento A, Garcia C, Jassogne L (2018b) Opportunities for sustainable intensification of coffee agro-ecosystems along an altitudinal gradient on Mt. Elgon, Uganda. Agric Ecosyst Environ 263:31–40. https://doi.org/10.1016/j.agee.2018.04.019
Ramalho JC, Pais IP, Leitão AE, Guerra M, Reboredo FH, Máguas CM, Carvalho ML, Scotti-Campos P, Ribeiro-Barros AI, Lidon FJC, DaMatta FM (2018) Can elevated air [CO2] conditions mitigate the predicted warming impact on the quality of coffee bean? Front Plant Sci 9:287. https://doi.org/10.3389/fpls.2018.00287
Ramírez BH, Arcila JP, Jaramillo AR, Rendón-S JR, Cuesta GG, Menza FHD, Mejía M, Montoya CG, Mejía MJW, Torres NJC, Sánchez APM, Baute JEB, Peña AJQ (2010) Floración del café en Colombia y su relación con la disponibilidad hídrica, términa y de brillo solar. Cenicafé 61(2):132–158
Rodrigues WP, Martins MQ, Fortunato AS, Rodrigues AP, Semedo JN, Simões-Costa MC, Pais IP, Leitão AE, Colwell P, Goulao L, Máguas C, Maia R, Partelli FL, Campostri E, Scotti-campos P, Ribeiro-barros AI, Lidon FC, DaMatta FM, Ramalho JC (2016) Long-term elevated air [CO2] strengthens photosynthetic functioning and mitigates the impact of supra-optimal temperatures in tropical Coffea arabica and C. canephora species. Glob Chang Biol 22:415–431. https://doi.org/10.1111/gcb.13088
Rodríguez D, Cure JR, Cotes JM, Gutierrez AP, Cantor F (2011) A coffee agroecosystem model: I. Growth and development of the coffee plant. Ecol Model 222:3626–3639. https://doi.org/10.1016/j.ecolmodel.2011.08.003
Silva EA, DaMatta FM, Ducatti C, Regazzi AJ, Barros RS (2004) Seasonal changes in vegetative growth and photosynthesis of arabica coffee trees. Field Crops Res 89:349–357. https://doi.org/10.1016/j.fcr.2004.02.010
Sondahl MR, Sharp WR (1979) Research in Coffea spp. and applications of tissue culture methods. In: Paddock EF, Raghavan V (eds) Plant cell and tissue culture: principles and applications. Ohio State University Press, Columbus, pp 527–584
Stevenson TCE (1864) New description of box for holding thermometers. Journal of Scottish Meteorological Society 1:122
Tanzania Coffee Industry Development Strategy (2012).<http://www.coffeeboard.or.tz/Newspublications/startegyenglish.pdf >
USDA (2016) Global agricultural information network (GAIN) report. Tanzania Annual Coffee Report. Accessed 20-12-2017, http://gain.fas.usda.gov/Recent%20GAIN%20Publications/Coffee%20Annual_Nairobi_Tanzania_5-23-2016.pdf
Vaast P, Bertrand B, Perriot JJ, Guyot B, Génard M (2006) Fruit thinning and shade improve bean characteristics and beverage quality of coffee (Coffea arabica L.) under optimal conditions. J Sci Food Agric 86:197–204. https://doi.org/10.1002/jsfa.2338
van der Vossen H, Bertrand B, Charrier A (2015) Next generation variety development for sustainable production of arabica coffee (Coffea arabica L.): a review. Euphytica 204:243–256. https://doi.org/10.1007/s10681-015-1398-z
Van Kanten R, Vaast P (2006) Transpiration of arabica coffee and associated shade tree species in sub-optimal, low-altitude conditions of Costa Rica. Agrofor Syst 67:187–202. https://doi.org/10.1007/s10457-005-3744-y
Williams AP, Funk C (2011) A westward extension of the warm pool leads to a westward extension of the Walker circulation, drying eastern Africa. Clim Dyn 37:2417–2435. https://doi.org/10.1007/s00382-010-0984-y
Wood SN (2017) Generalized additive models: an introduction with R, 2nd edn. CRC Press, Boca Raton
Wood SN, Pya N, Säfken B (2016) Smoothing parameter and model selection for general smooth models. J Am Stat Assoc 111(516):1548–1563. https://doi.org/10.1080/01621459.2016.1180986
Zacharias AO, Camargo MBP, Fazuoli LC (2008) Modelo agrometeorológico de estimativa do início da florada plena do cafeeiro. Bragantia 67:249–256. https://doi.org/10.1590/S0006-87052008000100030
Zhang GP (2003) Time series forecasting using a hybrid ARIMA and neural network model. Neurocomputing 50:159–175. https://doi.org/10.1016/S0925-2312(01)00702-0
Zhang H, Yuan W, Liu S, Dong W, Fu Y (2015) Sensitivity of flowering phenology to changing temperature in China. J Geophys Res: Biogeosciences 120(8):1658–1665
Acknowledgments
This work was implemented as part of the CGIAR Research Program on Climate Change, Agriculture and Food Security (CCAFS), which is carried out with support from CGIAR Fund Donors and through bilateral funding agreements. For details, please visit https://ccafs.cgiar.org/donors. The views expressed in this document cannot be taken to reflect the official opinions of these organizations. IITA, the Bundesministerium für Wirtschaftliche Zusammenarbeit und Entwicklung (BMZ), Global Change and Sustainability Research Institute (GCSRI) and the Open Society Foundation are thanked for financial and logistical support.
Data and code availability
Data and code used in this study are stored at HARVARD Dataverse (https://dataverse.harvard.edu/dataset.xhtml?persistentId=doi:10.7910/DVN/RFLQBD)
Funding
This work was implemented as part of the CGIAR Research Program on Climate Change, Agriculture and Food Security (CCAFS), which is carried out with support from CGIAR Fund Donors and through bilateral funding agreements. For details please visit https://ccafs.cgiar.org/donors. The views expressed in this document cannot be taken to reflect the official opinions of these organizations. IITA, the Bundesministerium für Wirtschaftliche Zusammenarbeit und Entwicklung (BMZ), Global Change and Sustainability Research Institute (GCSRI) and the Open Society Foundation are thanked for financial and logistical support.
Author information
Authors and Affiliations
Corresponding author
Ethics declarations
Conflict of interest
The authors declare that they have no conflict of interest.
Ethics approval
Not applicable.
Consent to participate
Not applicable.
Consent for publication
Not applicable.
Additional information
Publisher’s Note
Springer Nature remains neutral with regard to jurisdictional claims in published maps and institutional affiliations.
Rights and permissions
About this article
Cite this article
Craparo, A.C.W., Van Asten, P.J.A., Läderach, P. et al. Warm nights drive Coffea arabica ripening in Tanzania. Int J Biometeorol 65, 181–192 (2021). https://doi.org/10.1007/s00484-020-02016-6
Received:
Revised:
Accepted:
Published:
Issue Date:
DOI: https://doi.org/10.1007/s00484-020-02016-6

